টর্ক
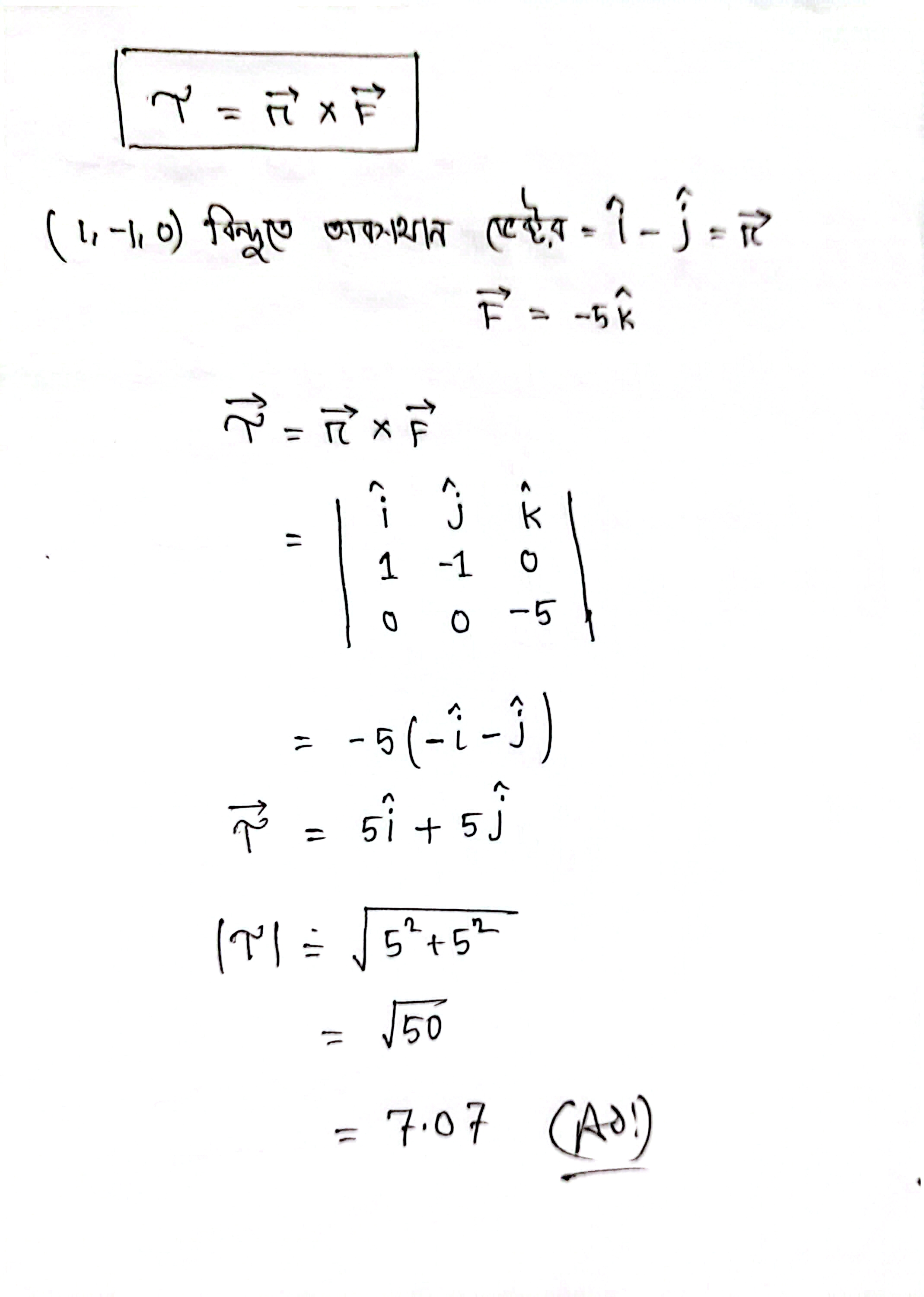
ত্রিমাত্রিক স্থানাঙ্ক ব্যবস্থায় মুলবিন্দুতে -5ǩ বল প্রয়োগ করা হলে (1,-1,0) বিন্দুতে টর্কের মান কত?

Ai এর মাধ্যমে
১০ লক্ষ+ প্রশ্ন ডাটাবেজ
প্র্যাকটিস এর মাধ্যমে নিজেকে তৈরি করে ফেলো
উত্তর দিবে তোমার বই থেকে ও তোমার মত করে।
সারা দেশের শিক্ষার্থীদের মধ্যে নিজের অবস্থান যাচাই
টর্কের মাত্রা কোনটি?
নিচের কোন সম্পর্কটি সঠিক ?
Find the maximum speed at which a truck can safely travel without toppling over, on a curve of radius . The height of the center of gravity of the truck above the ground is and the distance between the wheels is , the truck being horizontal.
ঘূণন অক্ষ থেকে দূরুত্ব r এবং প্রযুক্ত বল F হলে । টর্ক কত?