নিউটনের গতিসূত্র
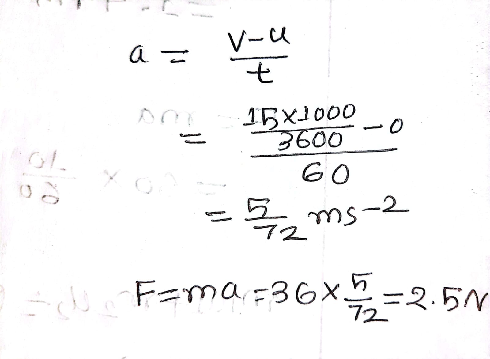
30 kg ভরের একটি স্থির বস্তুর বেগ 2 min এ বৃদ্ধি করে 36 km/h এ উন্নীত করার জন্য বস্তুটিতে কত বল প্রয়োগ করতে হবে?

Ai এর মাধ্যমে
১০ লক্ষ+ প্রশ্ন ডাটাবেজ
প্র্যাকটিস এর মাধ্যমে নিজেকে তৈরি করে ফেলো
উত্তর দিবে তোমার বই থেকে ও তোমার মত করে।
সারা দেশের শিক্ষার্থীদের মধ্যে নিজের অবস্থান যাচাই
A race car has a mass of 710 kg. It starts from rest and travels 40.0m in 3.0 s. The car is uniformly accelerated during the entire time. What net force is exerted on it?
সমত্বরণে একটি বেলুন উর্ধ্বে উঠছে। বেলুনের ওজনের কত অংশ কমানো হলে বেলুনটির ত্বরণহবে?
An express train is moving with a velocity Its driver finds another train is moving on the same track in the same direction with velocity s. To escape collision. driver applies retardation a on the train. The minimum time of escaping collision will be ;
1.5 kg ভরের একটি মডেল হেলকপ্টারের আদি গতিবেগ 5ĵ m/s. 2sec সমত্বরণে চলার পর তার গতিবেগ হয় (6î + 12ĵ) m/s. এই সময়ে প্রযুক্ত বলের মান নির্ণয় কর।