রোধ
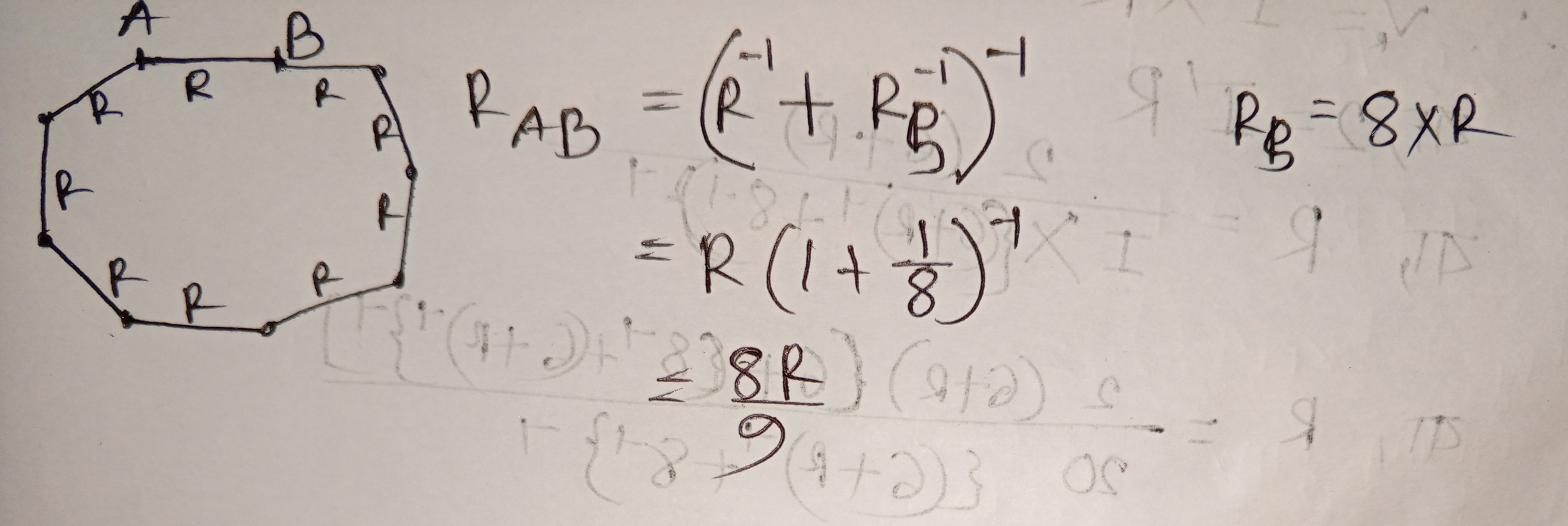
Identical wires each of Resistance are connected to form a closed polygon. The equivalent resistance between the ends of any side is

Ai এর মাধ্যমে
১০ লক্ষ+ প্রশ্ন ডাটাবেজ
প্র্যাকটিস এর মাধ্যমে নিজেকে তৈরি করে ফেলো
উত্তর দিবে তোমার বই থেকে ও তোমার মত করে।
সারা দেশের শিক্ষার্থীদের মধ্যে নিজের অবস্থান যাচাই
When temperature of the conductor is increased, then the collision frequency between current carries ( electrons ) and atoms increases. This results in
wires (same length, same area, same material) are connected in parallel and each has resistance, then the equivalent resistance will be
Six identical cells, each of emf of , are connected in parallel. The net emf across the battery is
The equivalent resistance between A and B in the following figure is-
