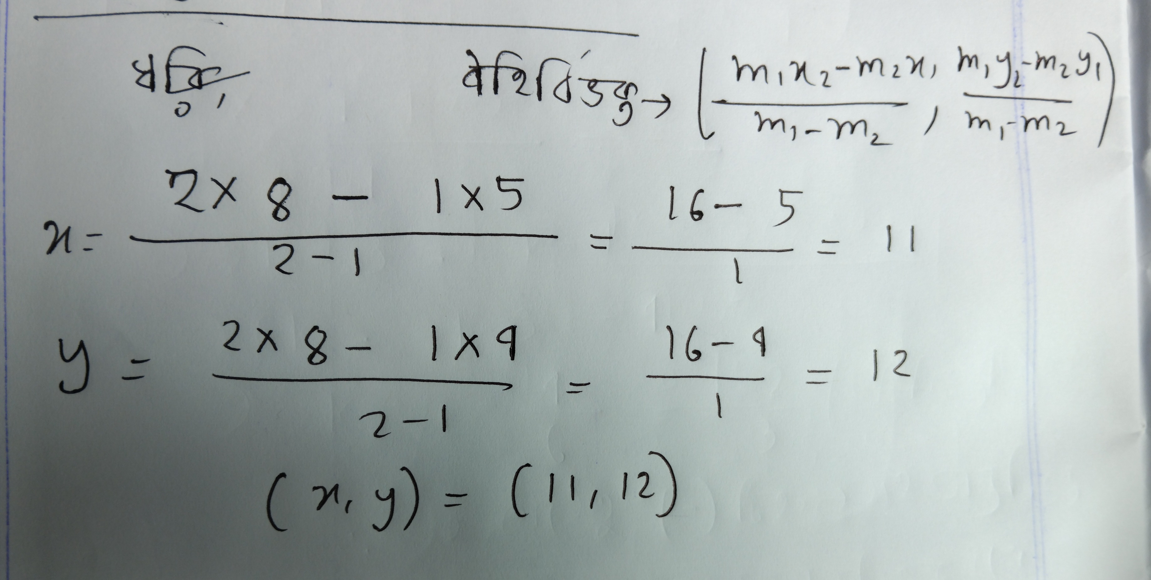
বহির্বিভক্ত
ও
বিন্দুদ্বয়ের সংযোগ রেখাকে কোন বিন্দু 2:1 অনুপাতে বহির্বিভক্ত করে?

Ai এর মাধ্যমে
১০ লক্ষ+ প্রশ্ন ডাটাবেজ
প্র্যাকটিস এর মাধ্যমে নিজেকে তৈরি করে ফেলো
উত্তর দিবে তোমার বই থেকে ও তোমার মত করে।
সারা দেশের শিক্ষার্থীদের মধ্যে নিজের অবস্থান যাচাই