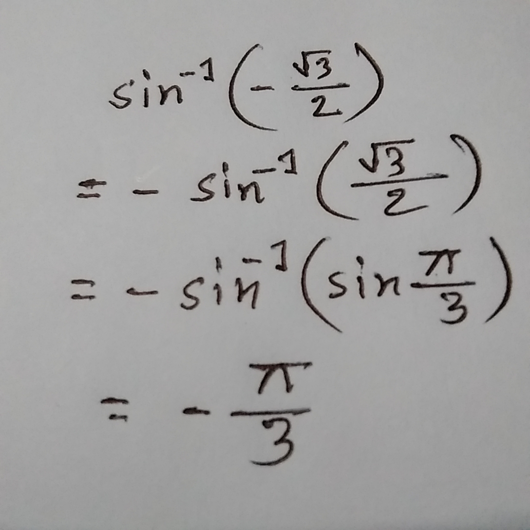
বিপরীত ত্রিকোণমিতিক ফাংশন ও পর্যায়
এর মুখ্যমান-
চতুর্থ চতুষ্কোণে অবস্থিত
নিচের কোনটি সঠিক?
সঠিক নয় ; কারণ sin-1x এর মুখ্যমান -π/2 থেকে π/2 এর মধ্যে বিদ্যমান।
2. সঠিক।

3. সঠিক ; কারণ -π/3 বা -60° কোণ চতুর্থ চতুষ্কোণে অবস্থিত
তাই সঠিক উত্তর 2 ও 3
Ai এর মাধ্যমে
১০ লক্ষ+ প্রশ্ন ডাটাবেজ
প্র্যাকটিস এর মাধ্যমে নিজেকে তৈরি করে ফেলো
উত্তর দিবে তোমার বই থেকে ও তোমার মত করে।
সারা দেশের শিক্ষার্থীদের মধ্যে নিজের অবস্থান যাচাই
No related questions found