মহাকর্ষীয় প্রাবল্য ও বিভব
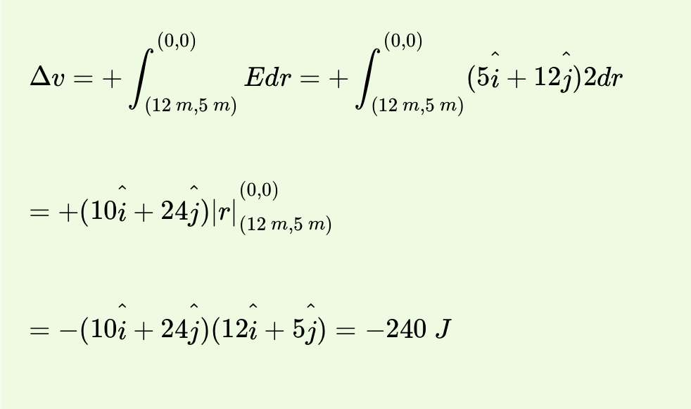
The gravitational field in a region is given by .
Find the changes is gravitational potential energy if a particle of mass 2 kg is taken from the origin to the point

Ai এর মাধ্যমে
১০ লক্ষ+ প্রশ্ন ডাটাবেজ
প্র্যাকটিস এর মাধ্যমে নিজেকে তৈরি করে ফেলো
উত্তর দিবে তোমার বই থেকে ও তোমার মত করে।
সারা দেশের শিক্ষার্থীদের মধ্যে নিজের অবস্থান যাচাই
নিচের কোন স্থানে পৃথিবীর মহাকর্ষীয় ক্ষেত্রের তীব্রতা সর্বাধিক-
কোনো বৃহদাকার বস্তুর জন্য মহাকর্ষীয় বিভবের সর্বোচ্চ মান কোথায় পাওয়া যাবে?
গ্রহের নাম | ভর | ব্যাসার্ধ | সূর্য হতে দূরত্ব |
|---|---|---|---|
মঙ্গল | 3390 km | ||
পৃথিবী | 6378 km |
মহাকর্ষীয় ধ্রুবক, .
সূর্যের ভর
B ও C বিন্দুতে যথাক্রমে m1= 1kg, m2=2kg ভরের দুটি বস্তু আছে।
AB = AC = 1 m এবং BC = 2m এবং BD = CD
D বিন্দুতে মহাকর্ষীয় ক্ষেত্র প্রাবল্যের মান—