রোধ
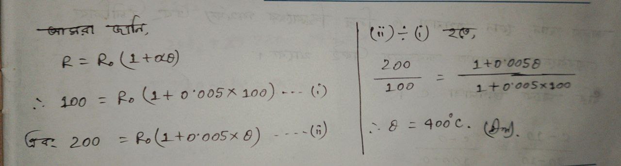
The resistance of a bulb filament is 100Ω at temperature of 100°C. If its temperature coefficient of resistance be 0.005 per °C, its resistance will be 200Ω at a temperature of

Ai এর মাধ্যমে
১০ লক্ষ+ প্রশ্ন ডাটাবেজ
প্র্যাকটিস এর মাধ্যমে নিজেকে তৈরি করে ফেলো
উত্তর দিবে তোমার বই থেকে ও তোমার মত করে।
সারা দেশের শিক্ষার্থীদের মধ্যে নিজের অবস্থান যাচাই
When temperature of the conductor is increased, then the collision frequency between current carries ( electrons ) and atoms increases. This results in
wires (same length, same area, same material) are connected in parallel and each has resistance, then the equivalent resistance will be
A wire has resistance of . It is cut into two parts and both have are connected in parallel. The new resistance is?
The voltage - current graph of a metallic conductor at two different temperature and is shown below. At which temperature is the resistance higher?
