৩.৬ জারণ বিজারণ বিক্রিয়া
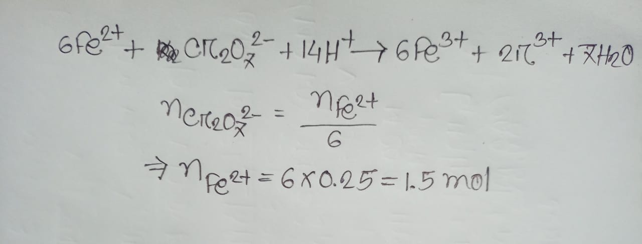
এসিডীয় মাধ্যমে 0.25 মোল Cr2O7 2- জারিত করে কত মোল Fe2+ কে?

Ai এর মাধ্যমে
১০ লক্ষ+ প্রশ্ন ডাটাবেজ
প্র্যাকটিস এর মাধ্যমে নিজেকে তৈরি করে ফেলো
উত্তর দিবে তোমার বই থেকে ও তোমার মত করে।
সারা দেশের শিক্ষার্থীদের মধ্যে নিজের অবস্থান যাচাই