২.৫ বন্ধন বিভাজন, বিকারক, আলিফেটিক হাইড্রোকার্বন, অ্যালকেন, অ্যালকিন, অ্যালকাইন
নিচের কোনটি অ্যালিফেটিক যৌগ নয়?
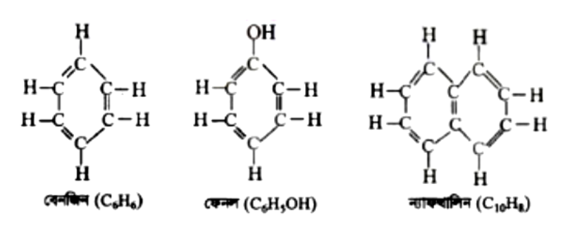
অ্যারোমেটিক যৌগ বেনজিন, বেনজিন-জাতক ও এক বা একাধিক বেনজিন-বলয়যুক্ত যৌগ বা বেনজিনের ধর্ম সদৃশ যৌগকে অ্যারোমেটিক যৌগ বলে। যেমন, বেনজিন, ফেনল, ন্যাফথালিন। 
Ai এর মাধ্যমে
১০ লক্ষ+ প্রশ্ন ডাটাবেজ
প্র্যাকটিস এর মাধ্যমে নিজেকে তৈরি করে ফেলো
উত্তর দিবে তোমার বই থেকে ও তোমার মত করে।
সারা দেশের শিক্ষার্থীদের মধ্যে নিজের অবস্থান যাচাই