গতি বিষয়ক রাশিমালা
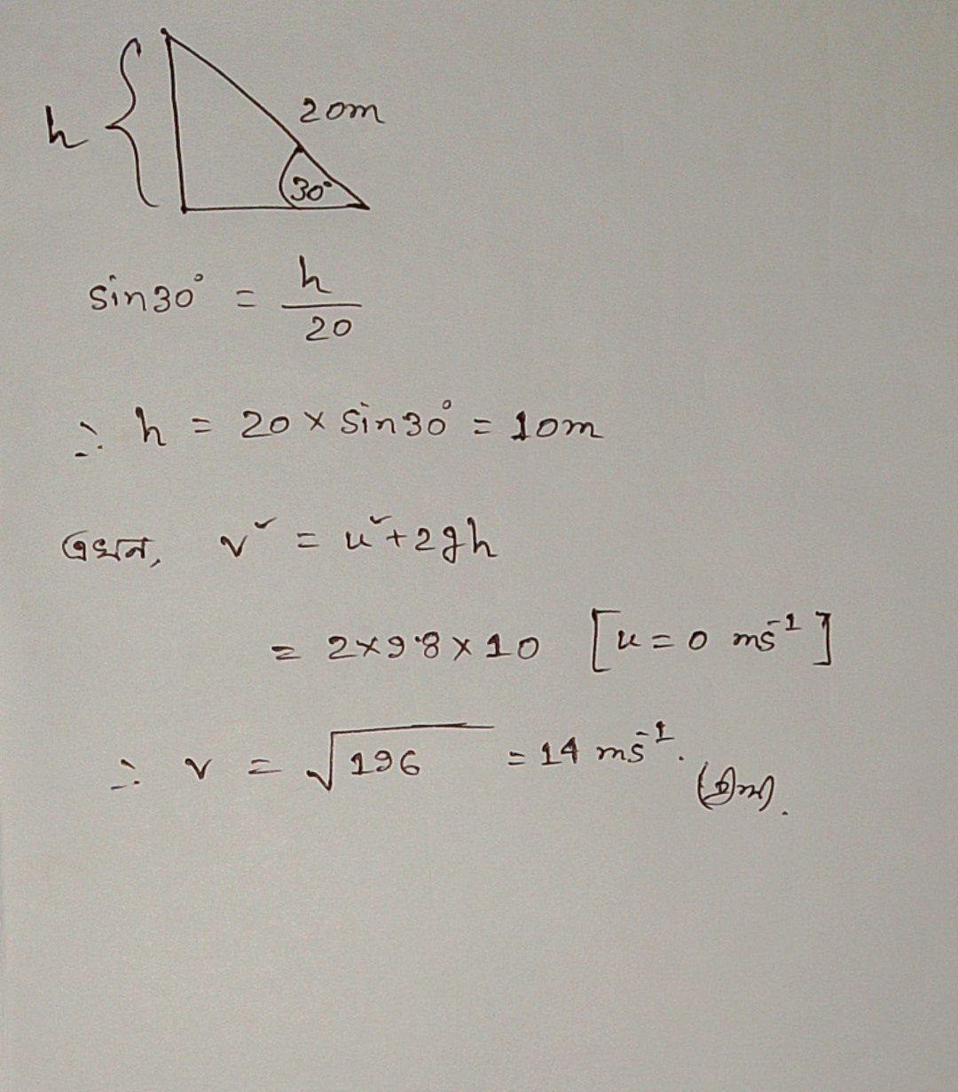
স্থির অবস্থান থেকে 100kg ভরের একটি গাড়ি অনুভুমিকের সাথে 30° কোণে 20m দূরত্বের একটি আনত তল বেয়ে নামছে । গাড়িটির বেগ -

Ai এর মাধ্যমে
১০ লক্ষ+ প্রশ্ন ডাটাবেজ
প্র্যাকটিস এর মাধ্যমে নিজেকে তৈরি করে ফেলো
উত্তর দিবে তোমার বই থেকে ও তোমার মত করে।
সারা দেশের শিক্ষার্থীদের মধ্যে নিজের অবস্থান যাচাই
একটি বস্তুকে vo আদিবেগে খাড়া ওপরের দিকে নিক্ষেপ করা হলো। নিচের কোন রাশিটি এর সর্বোচ্চ উচ্চতা নির্দেশ করে?
একটি বস্তুকে 4.9 ms-1 বেগে খাড়া ওপরের দিকে ছোড়া হলো। বস্তুটি কতক্ষণ শূন্য থাকবে?
একটি বন্দুকের গুলি কোনো দেয়ালের মধ্যে 1 m প্রবেশ করার পর অর্ধেক বেগ হারায়। গুলিটি দেয়ালের মধ্যে আর কত দূর প্রবেশ করবে?
50 kg ভরের এক ব্যক্তি 1950 kg ভরের একটি গাড়ি স্থির অবস্থা থেকে প্রথম 10s সমত্বরণে চললো। অতঃপর 10 min সমবেগে চালানোর পর ব্রেক চেপে 1s এর মধ্যে গাড়ি থামালো। যাত্রা শুরুর 4s পর গাড়ির বেগ 8 ms-1 হলে গাড়ি কর্তৃক অতিক্রান্ত মোট দূরত্ব নির্ণয় কর।