তাপগতীয় প্রক্রিয়া
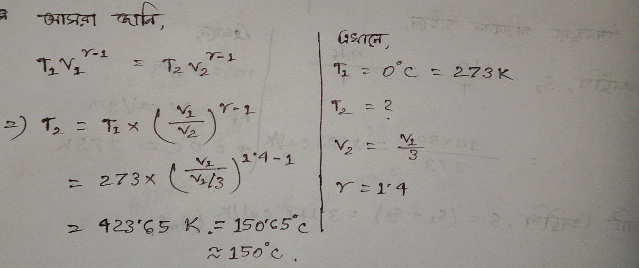
স্বাভাবিক তাপমাত্রা ও চাপে কিছু পরিমাণ গ্যাসকে হঠাৎ সংকুচিত করে তার আয়তন 1/3 করা হল, চূড়ান্ত তাপমাত্রা হবে- (γ=1.4)

Ai এর মাধ্যমে
১০ লক্ষ+ প্রশ্ন ডাটাবেজ
প্র্যাকটিস এর মাধ্যমে নিজেকে তৈরি করে ফেলো
উত্তর দিবে তোমার বই থেকে ও তোমার মত করে।
সারা দেশের শিক্ষার্থীদের মধ্যে নিজের অবস্থান যাচাই
কোন উক্তিটি সঠিক?
A gas expands isthermally an reversibly.The work done by the gas is ______.
Two spheres and with masses in the ratio and specific heat fall freely rest. If the rest in their temperatures on reaching the ground in the ratio the ratio of their heights of fall is:-
An ideal gas and a real gas have their volumes increased from to under isothermal conditions.The increase in internal energy