গতি বিষয়ক রাশিমালা
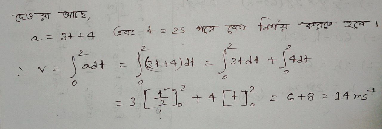
একটি বস্তুর ত্বরণ 'a'(in ms-2) সময় 't' (in s) এর সাথে a=3t+4 সমীকরণ অনুযায়ী পরিবর্তিত হয়।t=2s সময়ে বস্তুটির গতি হবেঃ

Ai এর মাধ্যমে
১০ লক্ষ+ প্রশ্ন ডাটাবেজ
প্র্যাকটিস এর মাধ্যমে নিজেকে তৈরি করে ফেলো
উত্তর দিবে তোমার বই থেকে ও তোমার মত করে।
সারা দেশের শিক্ষার্থীদের মধ্যে নিজের অবস্থান যাচাই
বিনা বাধায় ভূপৃষ্ঠ থেকে নিক্ষিপ্ত বস্তু সর্বোচ্চ উচ্চতায় উঠতে যে সময় লাগে সেই উচ্চতা থেকে ভূপৃষ্ঠে পড়তে কত সময় লাগে?
একটি বস্তুকে vo আদিবেগে খাড়া ওপরের দিকে নিক্ষেপ করা হলো। নিচের কোন রাশিটি এর সর্বোচ্চ উচ্চতা নির্দেশ করে?
176.4m উঁচু একটি টাওয়ারের শীর্ষবিন্দু থেকে একটি পাথরকে আনুভূমিক বরাবর ছোড়া হলো। পাথরটি টাওয়ারের পাদদেশ থেকে 96m দূরে ভূমিতে গিয়ে পড়ল। পাথরটি কত সময় পর ভূমিতে এসে পড়ল? কী দ্রুতিতে পাথরটি ছোড়া হয়েছিল? g = 9.8m/s-²
একটি বস্তুকে 4.9 ms-1 বেগে খাড়া ওপরের দিকে ছোড়া হলো। বস্তুটি কতক্ষণ শূন্য থাকবে?